1 材料與方法
材料 試驗用羊肉購自杭州農副產品物流中心,雞肉購自杭州沃爾瑪超市。肉樣去脂肪、結締組織后,置于-18℃冷凍。
儀器 試驗用電子舌檢測系統為法國阿爾法莫斯公司的Astree電子舌。
預處理方法 將羊肉樣品于4℃解凍,用絞肉機將肉樣絞碎待用。將羊肉和雞肉樣品于 4℃解凍,用絞肉機分別將2種肉樣絞碎,并按設定比例(以混入雞肉比例(質量分數)計20%、40%、60%和 80%)混合后再次絞碎充分混合,記純羊肉樣品為0,純雞肉樣品為100%。取一定質量的羊肉、摻假羊肉肉糜樣品,于100 mL浸提溶液中浸提30min,經濾紙過濾后收集濾液,每個樣品取80 mL 濾液以備電子舌檢測用,每組樣品均準備28個重復。
2 結果與分析
1、電子舌對不同摻假羊肉的定性判別

提取各摻假羊肉電子舌傳感器第120秒響應數據,以各傳感器響應信號為變量進行 PCA分析,以前 3 個主成分得分繪圖,結果見圖5。由圖可知,第1主成分68.59%,第2主成分15.99%,第3主成分8.59%,總貢獻率達到93.17%,能很好地反映原始數據信息。除雞肉(100%)和雞肉質量分數為80%數據點有部分重合外,其他雞肉含量的摻假羊肉樣品均能相互區分,且隨第1主成分減小的方向,混入雞肉的比例降低。羊肉樣品分布在圖形的最左側,與其他組樣品距離較遠,與混入雞肉的摻假羊肉顯著區分。不同種類肉浸出的呈味物質存在明顯差異,而這種差異可由電子舌傳感器區分。

對上述數據進行CDA分析,以前2個成分繪圖,結果見圖6。從圖6中可以看出,第1成分88.67%,第2成分為8.85%,共解釋了97.52%的原始變量。摻假羊肉樣品按照摻入雞肉的比例聚類,且相互能有效區分。隨第1成分減小的方向,雞肉含量降低,純羊肉樣品分布在圖形的左上角,與混有雞肉的摻假羊肉顯著區分。相比于PCA、CDA分析后每種不同摻假羊肉的數據更為集中,相互之間的區分效果更顯著,尤其是對雞肉(100%)和雞肉質量分數為 80%的樣品,其數據雖較接近,但能相互區分。
2、電子舌對不同摻假羊肉的定量判別


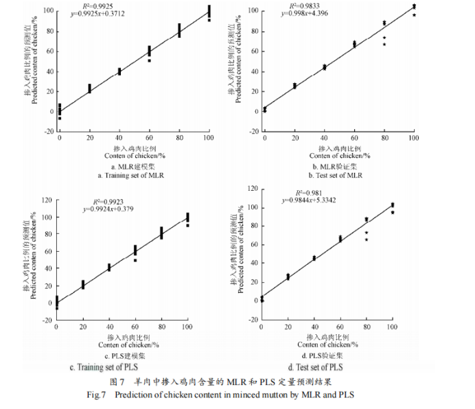
為實現羊肉中混入雞肉比例的定量預測,對比分析了多元線性回歸分析和偏最小二乘回歸分析在建立定量預測模型的效果,找出較佳預測模型。建模集為126(21×6)個樣本,驗證集為42(7×6)個樣本,結果如圖7和表3所示。表3為2個定量預測模型的評價指標,采用決定系數R2、均方根誤差RMSE和P值對模型進行評價。對PLS和MLR模型,P=0,表明2個回歸模型均具有極顯著意義,且2個模型建模集中,真實值和預測值之間決定系數的R2均高于0.99,RMSE均小于3%,圖7a和7c可以看出2種預測方法建模集真實值和模型預測值之間的關系,建模效果較佳。采用建立的模型對驗證集的42個樣本進行預測,圖7b和圖7d分別給出了2種模型預測雞肉含量與混入雞肉真實值含量之間的相關關系。2個驗證集的 R2均高于0.98,RMSE均小于6.5%,預測效果較好。MLR和PLS均能有效預測羊肉糜中混入雞肉的比例,以建模集和驗證集的R2和RMSE為依據,MLR 模型的預測效果略優于 PLS 模型的預測效果。
3 結 論
采用基于交互敏感的化學選擇性區域效應味覺傳感器組成的電子舌測定混入雞肉的摻假羊肉糜,研究了不同浸提溶液條件下樣品量對傳感器響應的影響均顯著,通過方差分析和主成分分析獲得了較佳浸提溶液(氯化鉀溶液,0.1 mol/L)和樣品量(15 g)。在上述較佳檢測條件下,采用電子舌檢測混入不同比例雞肉的羊肉糜。結果表明通過主成分分析和判別分析,電子舌可識別混入不同比例雞肉的羊肉糜樣本,且建立的 PLS 和 MLR 預測模型(R2 >0.99)能有效預測混入雞肉的比例。
來源:感官科學與評定 ,轉載請注明來源。
參考文獻:田曉靜,王俊,崔紹慶.羊肉純度電子舌快速檢測方法[J].農業工程學報,2013,29(20):255-262。

