一、研究目的
本研究的目的是比較市場上常見的咸味食品與其低鈉的同類產品之間的感官特征,以及利用TDS和TCATA分析方法來比較單次和多次攝入的這些產品的感官特征上的差異。
二、研究方法
(1)受試者招募:年齡大于18歲的女性,要求無吸煙、懷孕或有甲狀腺等疾病。進行感官敏銳度篩選,包括基本味覺識別和氣味辨別能力、評價及描述能力和品評者狀態。篩選出20名敏感度較佳者組成感官評價小組(15名女性,18-49歲)。
(2)實驗材料制備:材料包括薯片、熟火腿、罐裝玉米和奶油蘑菇湯。受試者按照要求進行食用(提供5片薯片,每次攝入1片;火腿切成0.3×2×4(cm)片,放入透明塑料杯;10粒玉米粒,60毫升湯放入透明罐;玉米和湯樣品保持在60℃在水浴中飲用,薯片和火腿在室溫下供應。)對于TDS,評估人員記錄了每個時刻樣本中的主導感官屬性。對于TCATA,評估人員描述了在每個時刻樣本中感知到的全部感官屬性。
三、研究結果
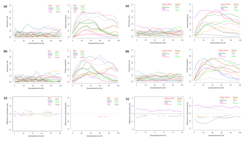
1.常規和低鈉食品的暫時性感官支配分析
TDS和TCATA曲線提供了在整個評估期間表示常規和低鈉產品的感官屬性的類似信息。在TDS曲線圖中達到顯著優勢率的感官屬性在TCATA曲線圖中也顯示出較高的引用率。TCATA提供了給定時間點并對感覺屬性有了更詳細描述。由于在TDS評估期間,只有一個屬性可以在評估時間點被選為主要屬性,因此TDS中的屬性曲線比TCATA曲線波動更頻繁。
對于常規薯片(圖 1)(薯片因為在空氣中受潮而產生的)軟感和(薯片因為高溫油炸而產生的)熱油感在 TCATA 曲線的中期階段具有相同的引用率,但在 TDS 曲線的同一時間點,只有軟感占顯著優勢,甚至在評估時間區間的 25%至 40%內達到最高優勢率。對于玉米(圖 2)(玉米本身產生的)咸度和(玉米蒸煮所產生的)漿糊狀在 TDS 曲線的中期階段具有相同的引用率,但在 TCATA 曲線的同一時間點,只有咸度占顯著優勢,甚至在評估時間區間的 15%至 30%內達到最高優勢率。對于火腿(圖 3)(火腿本身產生的)油膩味和(火腿所產生的)苦味在 TDS 曲線的中期階段的引用率基本保持不變,但在 TCATA 曲線的同一時間點,苦味發生了顯著變化,甚至在評估時間區間的 20%至 40%內與油膩味達到相同的最高優勢率。對于奶油蘑菇湯(圖 4)(奶油蘑菇湯在蒸煮過程中產生的)濃郁味,(奶油蘑菇湯蒸煮過后產生的)油膩味和(奶油蘑菇湯底味道)咸度無論是在 TCATA 曲線還是在 TDS 曲線中,他們的引用率都發生了巨大的下降。

圖1(左圖) 常規(a)和低鈉(b)薯片的時間曲線,以及TDS(左)和TCATA(右)評估獲得的顯著差異曲線(c)
圖2(右圖) 常規(a)和低鈉(b)玉米的時間曲線,以及TDS(左)和TCATA(右)獲得的顯著差異曲線(c)

圖3(左圖)常規(a)和低鈉(b)火腿的時間曲線,以及TDS(左)和TCATA(右)獲得的顯著差異曲線(c)
圖4(右圖)常規(a)和低鈉(b)蘑菇湯的時間曲線,以及TDS(左)和TCATA(右)評估獲得的顯著差異曲線(c)
2.TDS和TCATA生成的食品感官屬性曲線的比較
常規食品和低鈉食品的時間感官特征的差異是特定于產品的,取決于動態感官表征的時間感官方法。TDS比TCATA在區分普通食物和低鈉食物方面更具辨別力。參與者在選擇TCATA中的感知屬性方面比選擇TDS中的主導感官屬性上達成了更大的共識,但TDS檢測到更多屬性的常規和低鈉產品之間存在顯著差異。在薯片和湯的TDS和TCATA評估中,以及在火腿的TDS中,低鈉產品的咸味特征低于常規產品。除了咸味外,其他感官屬性在普通產品和低鈉產品之間也有顯著不同,在低鈉薯片(圖1c)中觀察到干感的優勢率和引用率,在低鈉火腿(圖3c)中觀察到金屬味或苦味(圖3c),在低鈉湯中(圖4c)觀察到稠、奶油、甜和淀粉(圖4c)。常規火腿和低鈉火腿在TDS中存在許多顯著的屬性差異,而苦味是TCATA評估中發現的唯一顯著差異的屬性。
3. 薯片和奶油蘑菇湯的多次進食評估
在多次攝入薯片和奶油蘑菇湯的情況下,比較了TCATA和TDS誘發的動態感官產品特征。從不同攝入量的TDS差異曲線可以看出,與常規薯片相比,含鈉薯片的優勢率更高。如常規和低鈉薯片TDS和TCATA主成分分析圖上所示,TDS(主成分貢獻率60.48%)和TCATA(主成分貢獻率61.47%)的PCA圖的第一個維度的路徑是平行的(圖2),在兩個主成分分析圖中,第一維度主要與脆性有關,而不是與熱油味和土豆味相關。在早期評價中,兩種薯片的特征都是脆的,而在后期評價中,這兩種薯片的感官特征是熱油味和土豆味(圖S1和S2)。TDS(22.34%)和TCATA(23.26%)的PCA圖的第二個維度與咸感有關,這是最能區分普通薯片和低鈉薯片的屬性。在整個評估過程中,低鈉薯片顯示出較低的咸感引用率。多次攝入TDS評估的主成分分析圖的第二個維度與酥脆感和土豆感有關,與咸感負相關。如攝入量的TDS差異曲線所反映的,與常規薯片相比,酥脆感和土豆味在低鈉薯片中達到了更高的優勢率。蘑菇湯和土豆片的常規和低鹽產品之間的感官屬性差異較大。在TDS和TCATA中,正常和低鈉產品之間的差異在湯的攝入量上與薯片的攝入量類似。盡管TDS比TCATA確定了常規和低鈉產品之間更多的屬性差異,但TDS在連續攝入中的區分性較小。對于TCATA,除了咸感之外,區別兩種薯片的其他屬性在5次攝入中有所不同(第一次和第二次攝入的薯片是干的,第三次攝入的是酥脆的、高油感和油膩的,第四次攝入的是酥脆感的和高油感,第五次攝入土豆味),由于食品成分之間的相互作用,食品的感知感覺是復雜的。多次攝入評估有助于通過反復品嘗產品來建立屬性強度的效果。另外,TDS和TCTA的多次攝入對感官屬性曲線的影響有限,可能是因為它們缺乏屬性強度。

圖5 對常規和低鈉薯片(a)和蘑菇湯(b)的多攝入評估的時間標準化TDS(左)和TCATA(右)數據進行主成分分析的產品軌跡
本文給出的結果證實,TDS和TCATA提供了表征和區分常規和低鈉食品的關鍵感官屬性的可比信息。TCATA提供了在給定時間感知到的全部感官屬性的詳細描述,而TDS確定了參與者的主導感官屬性。與同時感知的全部屬性相比,主要感官屬性在常規和低鈉食品之間的區別更大,這可能與消費者對常規和低鈉產品的偏好和選擇有關。食物多次攝入的評估結果,對常規和低鈉產品的感官屬性進行了全面描述;單次攝入評價可以代表重復攝入的TCATA曲線,但不能代表TDS曲線。對于TDS曲線,單次攝入評估可用于鑒別常規食品和低鈉食品之間的感官屬性差異。TDS比TCATA更能鑒別出食物單次攝入食口腔的感官屬性,而TCATA對于食物多次口腔攝入后的感官屬性產生更一致的變化趨勢。食品的多次攝入改變了TDS優勢感官屬性的持續時間,但不改變顯著優勢屬性的數量。
因此將TDS和TCATA與消費者進食的感官愉悅感結合分析可以進一步研究有助于識別喜好驅動因素,并有助于選擇適當的時間方法用于低鈉的產品開發。
來源:浙商大食品口腔加工實驗室,轉載必須注明此來源。參考:Temporal Sensory Profiles of Regular and Sodium-Reduced Foods Elicited by Temporal Dominance of Sensations (TDS) and Temporal Check-All-That-Apply (TCATA). Ha Nguyen and Wendy V.Wismer. Foods. DOI: 10.3390/foods11030457.

