電刺激可以引起神經細胞膜電位的去極化,進而引發幅度較大的動作電位。研究表明電刺激可以產生味覺,這種情況被稱為電味覺測試法(electrogustometry)。人們認為電刺激嗅覺感受器同樣可以產生氣味感知。這篇文章描述的研究是基于鼻腔電刺激產生的氣味感覺實驗,主要目的是開發一種可控和可復現的數字技術,以產生無化學物質引發的嗅覺。鼻腔電刺激的方法如圖1所示。

圖1 弱電脈沖刺激鼻腔示意圖

圖2 電子電動嗅覺原型設備
為確定參與者的嗅覺能力,隨機向參與者提供5種已知氣味物質(橙、肉桂、香蕉、菠蘿和薄荷)。參與者按住左鼻或右鼻,依次嗅聞每種氣味,識別氣味類型,并對香氣強度進行評分。參與者每次先嗅聞水,再對氣味進行嗅聞,5種氣味物質均重復該過程。
?電刺激鼻部
?電刺激鼻部
使用8種不同的電流和頻率組合(1 mA/2 Hz、1 mA/10 Hz、1 mA/70 Hz、1 mA/180 Hz、2 mA/10 Hz、2 mA/70 Hz、2 mA/180 Hz和4 mA/70 Hz)作為刺激參數,刺激參數組合順序在不同參與者中遵循隨機原則。
(1)在一個封閉舒適的房間里,參與者坐在可調節的椅子上并蒙上眼罩,鼻腔兩側使用阿糖胞苷鼻噴霧劑預防打噴嚏。在內窺鏡攝像機引導下,將引發刺激用的銀電極輕輕插入鼻腔,并逐漸與靶區接觸,如圖3所示。隨后,電刺激與鼻腔呼吸同時進行,就像正常嗅聞一樣。
(2)電刺激持續時間固定為10秒,刺激間隔為60秒。
(3)實驗間隔期間,讓參與者填寫回答表,記錄每次刺激期間和刺激后感知到的感覺類型,并使用從0(無)到10(最強)的強度標度,對電刺激前后的氣味強度進行評分。參與者需要完成8個實驗的回答表。

圖3 電動嗅覺裝置刺激參與者的鼻腔
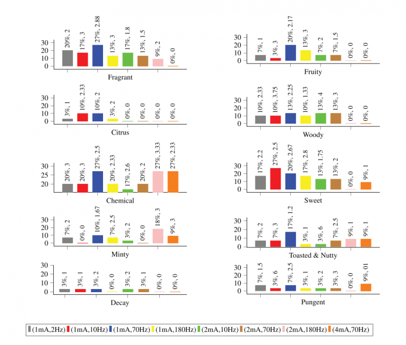
8個電刺激參數中,1 mA/10 Hz以及1 mA/70 Hz的氣味響應較強。圖4結果表明,1 mA/70 Hz電刺激下。27%參與者感知到了化合物氣味和芳香氣味。同時,1 mA/70 Hz電刺激下其他氣味感知及其比例如下:水果氣味20%、甜氣味20%、烘烤堅果氣味17%、薄荷氣味10%和木氣味13%。1 mA/10 Hz電刺激下,氣味感知的人群比例為芳香氣味17%、甜氣味27%、化合物氣味10%、木氣味10%。4 mA/70 Hz電刺激下,有82%的參與者表示有疼痛感(疼痛的平均強度值為2.95±0.85),64%的參與者感知到壓力。
圖4給出了不同電刺激參數下每種氣味的平均強度值,采用10點標度(0=無,10=最強)。參與者表示,他們感到劇烈疼痛和刺痛感的電刺激參數是1 mA/180 Hz和4 mA/70 Hz。同時,有2位參與者在此刺激下報告了視覺閃光情況。前期有研究表明使用0.45mA/10Hz的電刺激也產生了視覺閃光情況。因此,電刺激產生非嗅覺感覺的潛在因素需進一步研究。

圖4 不同電刺激下10種基本氣味感知及強度
?電刺激對嗅聞能力的影響
對電刺激前后參與者嗅聞能力進行測試,比較了電刺激前后參與者對氣味強度的感知。如表1所示,所有氣味劑在刺激前后的強度幾乎相同。但是,大部分參與者口頭報告中指出,電刺激后氣味劑聞起來會有所不同。
表1 電刺激前后氣味強度感知結果

?消費者對未來數字嗅覺設備的看法
采用調查和開放式問題相結合的方法,調查了人們對該數字嗅覺設備預期效果、個人安全以及未來應用的看法。樣本包括91名參與者(35名女性,年齡在20歲以上),參與者通過電子郵件收到了調查鏈接。在回答問卷之前,參與者先看一段3分鐘6秒長的項目介紹視頻,這段視頻簡要概述了本項目研究內容,包括電刺激的概念、目標、刺激程序、研究結果和未來研究方向。
圖5給出了參與者中給出4分(同意)或5分(強烈同意)的人群百分比。分別有69.2%、75.8%和79.2%的受訪者認為數字嗅覺設備具有娛樂性、趣味性和愉悅性。56.1%和38.5%的受訪者認為該設備可以提高他們生活的生產率和效率。在個人安全上,分別有59.4%和55%的受訪者認為,如果黑客進入設備,他們的個人隱私可能會受到威脅。使用意向上,分別有52.8%和72.6%的受訪者希望或期待數字嗅覺設備便于操作。此外,48.4%的受訪者希望成為第一批嘗試使用該設備的人,但只有28.6%的人希望在日常生活中使用該設備,51.7%的人表示,如果他們有財力,他們愿意購買。這意味著當人們開始使用數字嗅覺設備時,更多的人將在日常生活中購買和使用該設備。

圖5 在量表中評分為4(同意)或5(強烈同意)參與者的百分比
來源:感官科學與消費,作者陳厚銀。
附件:

